“删除排序链表中的重复元素”
删除排序链表中的重复元素
删除排序链表中的重复元素1
- 描述:存在一个按升序排列的链表,给你这个链表的头节点head,请你删除所有重复的元素,使每个元素只出现一次。
例如:
输入:head = [1,1,2,3,3]
输出:[1,2,3]
解法
- 使用一个指针解决
- 既然是排过序的,那么相同的节点肯定是挨着的。我们可以使用一个指针cur,每次都要判断是否和他后面的节点值相同,如果相同就把后面的那个节点给删除。*
代码如下:
1 | public ListNode deleteDuplicates(ListNode head) { |
- 递归方式解决
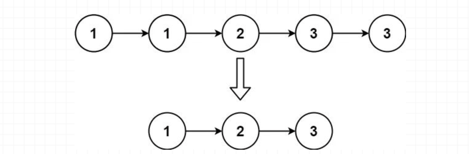
以输入链表为 head=[1,1,2,3,3]为例,下图为理解图:
<img =src=”/img/coding/deleteListNode1.png” alt=”deleteListNode1” style:”zoom: 65%;” />
代码如下:
1 | public ListNode deleteDuplicates(ListNode head){ |
删除排序链表中的重复元素2
- 描述:存在一个按升序排列的链表,给你这个链表的头节点head,请你删除链表中所有存在数字重复情况的节点,只保留原始链表中没有重复出现的数字。返回同样按升序排列的结果链表。
例如:输入:head = [1,2,3,3,4,4,5]
输出:[1,2,5]
解法:
- 双指针解决
这题的解决思路就是使用两个指针,一个指针cur指向当前节点,一个指针pre指向当前节点cur的前一个节点。cur始终和他的下一个节点比较,如果相同就往后移,如果不相同我们就需要判断pre的下一个节点是否是cur,如果是cur说明没有相同的节点,如果不是cur说明有相同的节点.
来看一下代码:1
2
3
4
5
6
7
8
9
10
11
12
13
14
15
16
17
18
19
20
21
22
23
24
25
26
27
28
29public ListNode deleteDuplicates(ListNode head) {
if(head==null || head.next==null){
return null;
}
//添加一个dummy节点
ListNode dummy=new ListNode(0);
//让dummy节点的next指针指向head。
dummy.next=head;
//指向当前遍历的节点
ListNode cur=head;
//指向当前节点pre的前一个节点
ListNode pre=dummy;
while(cur!=null){
while(cur.next!=null && cur.next.val==cur.val){
//如果有重复的,cur就一直往下走
cur=cur.next;
}
//判断上面有没有重复的节点,如果pre.next == cur,说明没有
//重复的节点。否则说明有重复的节点,然后还要把重复的节点给删除
if(pre.next==cur){
pre=pre.next;
}else{
//有重复的就删除
pre.next=cur.next;
}
cur=cur.next;
}
return dummy.next;
}
- 递归方式解决
我们先定义一个函数deleteDuplicates(ListNode head)表示删除重复的节点。
如果head.val != head.next.val,也就是说当前节点和他的下一个节点值不一样,我们不做任何的删除,直接递归head节点的下一个节点,也就是1
head.next = deleteDuplicates(head.next);
如果
head.val == head.next.val,说明有重复的节点,这里到底是重复一个还是重复多个,我们不知道,需要通过一个循环来确定。然后把重复的全部删除,也就是1
2
3while (head.next != null && head.val == head.next.val)
head = head.next;
return deleteDuplicates(head.next);
那递归的终止条件是什么呢,就是节点为空,或者只有一个节点,这种情况下是不可能有重复的,直接返回即可。我们来看下完整代码:
1 | public ListNode deleteDuplicates(ListNode head) { |